According to the definition, the quality factor of a series resonant (also known as frequency modulated series resonant) circuit is determined by the following expression:

Among them, W max is the maximum energy stored in the circuit at the resonant frequency, and P is the active loss power under the same conditions.
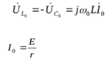
During voltage resonance

simultaneously

Therefore, the expression for the circuit quality factor takes the following form:

it

Received the name of the characteristic impedance of the circuit.
According to the expression, this expression indicates that the quality factor exceeds the reactance W0L and 1/W0C is higher than the active resistance r.
Considering

According to the formula:

From the above equation, it can be concluded that:

That is to say, the quality factor of the considered circuit is determined by the ratio of the voltage across L or C at resonance to the voltage value applied to the circuit.

The figure shows the frequency dependence of current for two consecutive series resonant circuits at the same resonant frequency and different quality factor values, with Q1>Q2. Therefore, it can be seen from the graph that the Q factor can also characterize the "sharpness" of the resonant current curve near the resonant frequency in a series resonant circuit.











